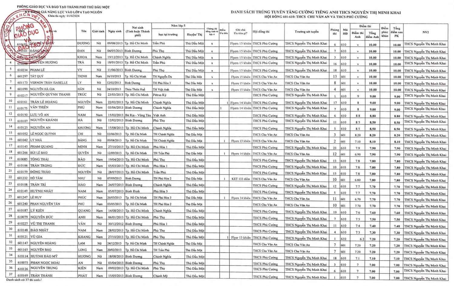
Danh sách trúng tuyển lớp 6 Tiếng Anh tăng cường năm học 2024 - 2025

Thứ tư - 07/08/2024 16:42
TATC (1) min
File đính kèm

Tổng số điểm của bài viết là: 0 trong 0 đánh giá

Click để đánh giá bài viết

  Ý kiến bạn đọc

Những tin mới hơn

Những tin cũ hơn

Truyền hình giáo dục
Thăm dò ý kiến

Học sinh có những điều kiện nào phục vụ việc học qua Internet?

Thống kê truy cập
  • Đang truy cập83
  • Máy chủ tìm kiếm1
  • Khách viếng thăm82
  • Hôm nay1,442
  • Tháng hiện tại25,489
  • Tổng lượt truy cập4,236,362
Bạn đã không sử dụng Site, Bấm vào đây để duy trì trạng thái đăng nhập. Thời gian chờ: 60 giây